Ответы
Ответ дал:
1
Ответ:
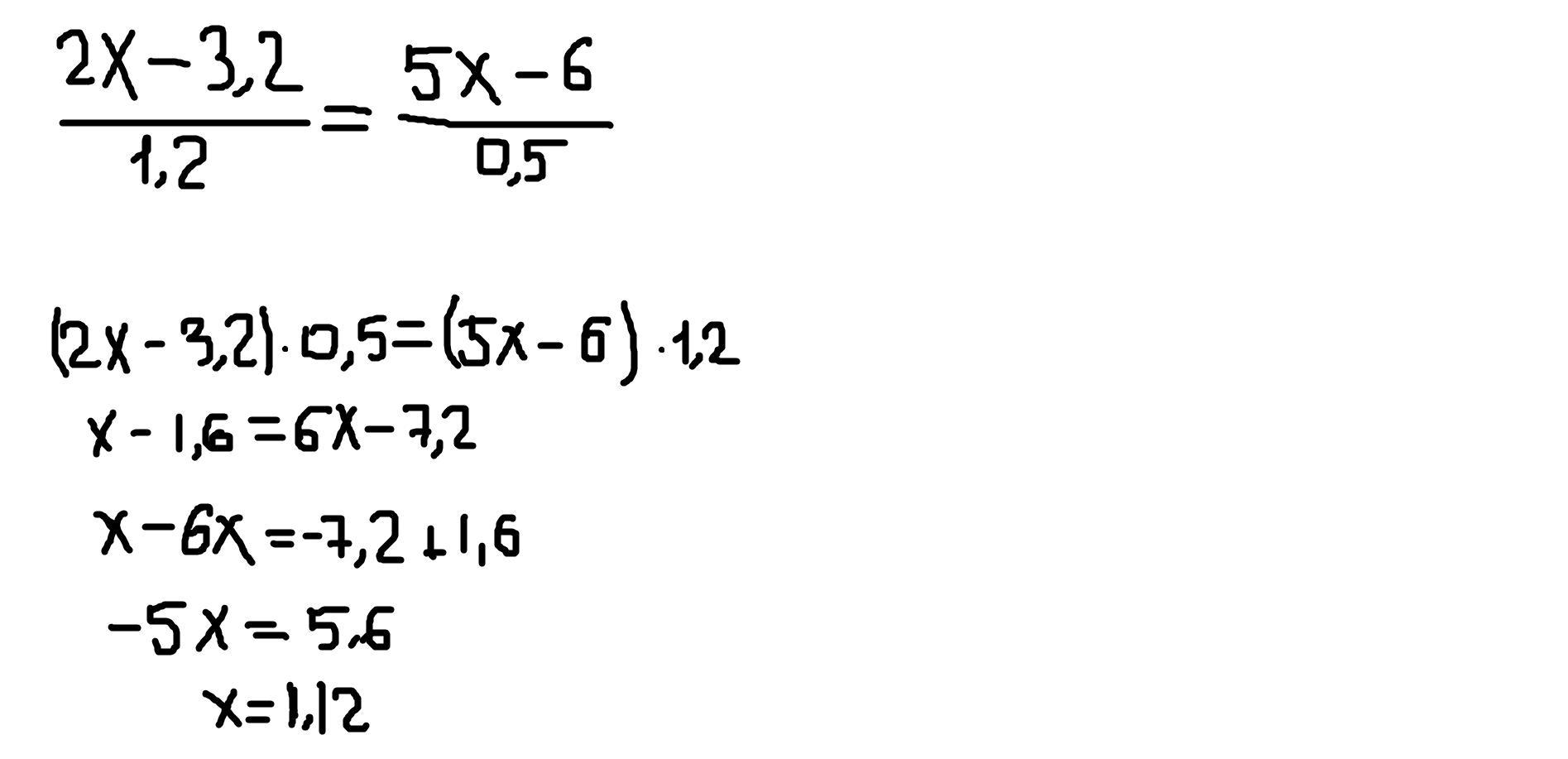
1,12 ( если вы переводите) а так 1 3/25
Приложения:

Ответ дал:
1
Ответ:
Пошаговое объяснение: в закрепе
Приложения:

Вас заинтересует
2 года назад
2 года назад
8 лет назад
8 лет назад
9 лет назад