Ответы
Ответ дал:
1
Ответ снизу!!!:
(13;1)
Приложения:

Ответ дал:
0
Ответ: (13, 1)
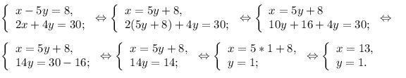
х=13
у=1
Решение:
х=8+5у
2х+4у=30
(верхние 2 строчки записывать как систему)
2(8+5у)+4у=30у=1
х=8+5*1
х=13
Я понимаю, ответ уже есть. Но очень нужны баллы
Вас заинтересует
2 года назад
2 года назад
2 года назад
2 года назад
9 лет назад