• Предмет: Математика
  • Автор: danikparkhomenko
  • Вопрос задан 7 лет назад

СРОЧНОООО!!!!!ДАМ 20 балов решить с решением

Приложения:

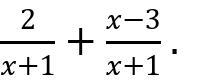
horkovva: X-1/x+1
horkovva: Общий знаменатель, решай как обычно, 2+х-3/х+1=х+2-3/х+1=х-2/х+1
danikparkhomenko: мне с решением нужно
horkovva: Решение выше
danikparkhomenko: увидел

Ответы

Ответ дал: sergejmaturin529
1

Ответ: x-1/x+1

Только вот нужно было немного поподробнее объяснить

Удачи

Вас заинтересует