• Предмет: Алгебра
  • Автор: dariatverdokhleb565
  • Вопрос задан 7 лет назад

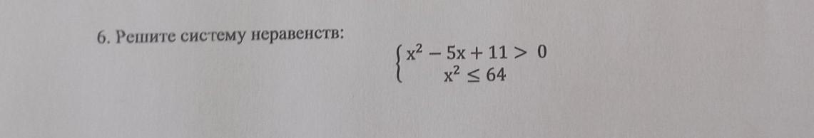
Решите систему неравенств: ​

Приложения:

Ответы

Ответ дал: ToriVegass
1

ответ:

\displaystyle x \in [-8,8]

решение:

\displaystyle \left \{ {{x^2-5x+11 > 0} \atop {x^2\leq 64}} \right. \\\\x^2-5x+11=0\\x \in R\\x^2-64=0\\x_1=-8,x_2=8\\\\\left \{ {{x\in R} \atop {x \in [-8,8]}} \right.

Приложения:
Вас заинтересует