• Предмет: Физика
  • Автор: Anet2200
  • Вопрос задан 7 лет назад

50 балов!!!! Очень Срочно !!!Помогите пожалуйста !!!
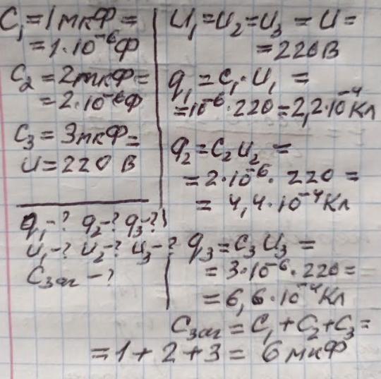
Задача 1. Три конденсатори ємностями 1, 2 і 3 мкФ з’єднані паралельно й під’єднані до джерела струму напругою 220 В. Які заряди та напруги на кожному конденсаторі? Знайти загальну ємність конденсаторів.

(Бажано дано та розв’язок )

Ответы

Ответ дал: zybkov1950
1

Відповідь: Див. додаток

Пояснення:

Приложения:
Вас заинтересует