• Предмет: Алгебра
  • Автор: f0p1x
  • Вопрос задан 7 лет назад

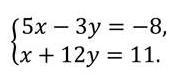
решите пожалуйста!!!!!!!

Приложения:

Ответы

Ответ дал: Shokuhou
1

Ответ:

Решим методом сложения:

Домножим вторую часть системы на 5:

\left \{ {{5x-3y=-8} \atop {5x+60y=55}} \right.

Вычитаем из 1 равенства второе:

-3y-60y=-8=55\\-63y=-63\\y=1

Подставляем в любое равенство и находим отсюда х:

x+12=11\\x=-1

Ответ: \left \{ {{y=1} \atop {x=-1}} \right.

Вас заинтересует