• Предмет: Алгебра
  • Автор: aruzhansulu
  • Вопрос задан 7 лет назад

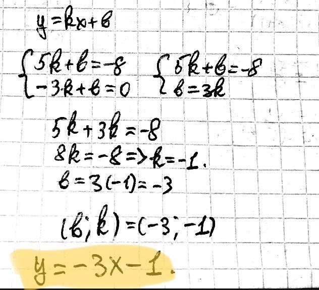
Напишите уравнение прямой, проходящей через точки А (5, -8) и В (-3,0).​

Ответы

Ответ дал: yevheniiavz
1

......................................

Приложения:
Вас заинтересует