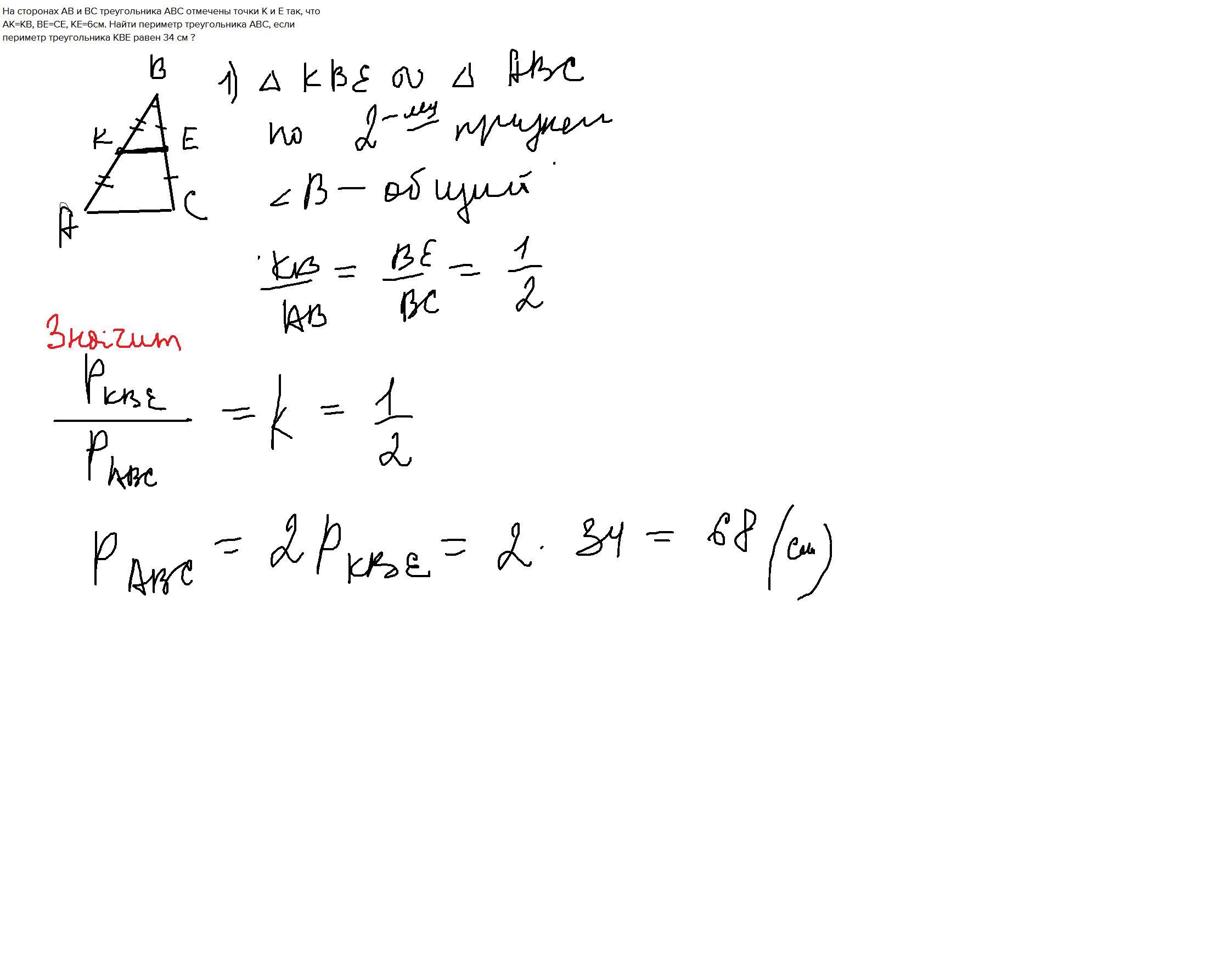
На сторонах АВ и ВС треугольника АВС отмечены точки К и Е так, что АК=КВ, ВЕ=СЕ, КЕ=6см. Найти периметр треугольника АВС, если периметр треугольника КВЕ равен 34 см ?
Ответы
Ответ дал:
1
Ответ:
Объяснение:
На сторонах АВ и ВС треугольника АВС отмечены точки К и Е так, что АК=КВ, ВЕ=СЕ, КЕ=6см. Найти периметр треугольника АВС, если периметр треугольника КВЕ равен 34 см ?
Приложения:

vikll:
КЕ=6см-топор в каше.
Вас заинтересует
2 года назад
2 года назад
8 лет назад
8 лет назад
9 лет назад
9 лет назад