• Предмет: Физика
  • Автор: lera2005olex
  • Вопрос задан 7 лет назад

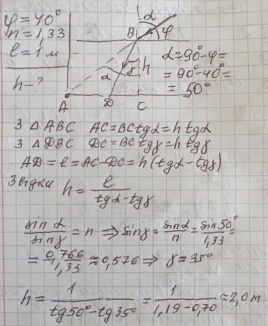
На дні річки лежить камінець. хлопчик на цілившись спрямовує на нього палицю під кутом 40 градусів до горизонту. яка глибина річки якщо палиться доторкнулися одна на відстані 1м від кам'янця?

Ответы

Ответ дал: zybkov1950
0

Відповідь: 2 м

Пояснення:

Приложения:
Вас заинтересует