С одного участка собрали 96кг картофеля, а с другого в 3 раза меньше. Сколько картофеля собрали с двух участков. Напишите в столбик пжжжжж!!!!!
TONYTTYGH:
Токо пожалуйста напишите в столбик пж
Ответы
Ответ дал:
4
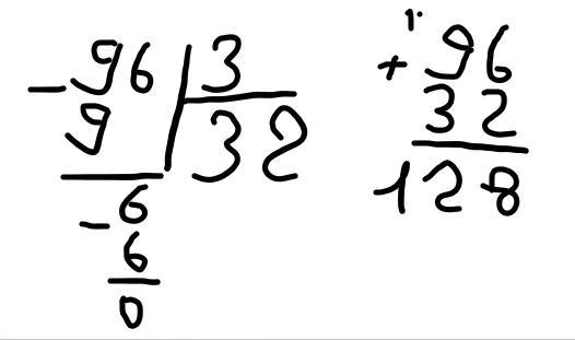
1) 96 / 3 = 32(кг) - картофеля на втором участке
2) 96 + 32 = 128(кг) - всего
Ответ: 128кг
Приложения:

Ответ дал:
2
96:3=32 кг с второго участка
96+32=128 кг собрали с двух участков
96+32=128 кг собрали с двух участков
Вас заинтересует
2 года назад
2 года назад
2 года назад
2 года назад
8 лет назад
8 лет назад
9 лет назад
9 лет назад