Напишите программу,которая выводит на экран таблицу степеней двойки (от нулевой до десятой) язык паскаль
Даю 40 баллов если можно,можно объяснение этому всему и для 8 класса решение а не 10 11
Makar07:
Тебе без массива?
Ответы
Ответ дал:
1
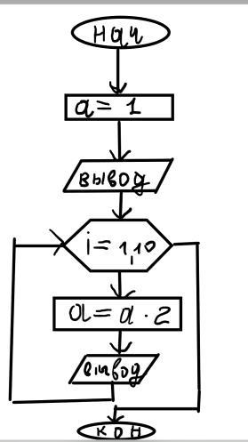
Program abc;
var a, i: integer;
begin
a := 1;
writeln('Два в 0 степени = ',a);
for i := 1 to 10 do
begin
a := a * 2;
writeln('Два в ',i,' степени = ',a)
end;
end.
1. заголовок программы
2. раздел описания переменных, у нас это параметр цикла и переменная, в которой хранится значение степени двойки
3. Начало программы
4. Присваиваем двойке единицу, это будет нулевая степень, т.к в цикле не изобразишь.
5. Вывод нулевой степени
6-10. Цикл, в нём всё предельно ясно
11. Конец программы
Описал каждую строчку программы)
Приложения:

Вас заинтересует
2 года назад
2 года назад
2 года назад
8 лет назад
8 лет назад
9 лет назад