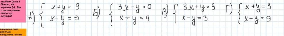
У вазі 9 троянд, iз них бiлих (x) на 3 більше, ніж червоних (у). Яка Із систем рiвнянь описує цю ситуацію?
Приложения:

Ответы
Ответ дал:
4
Ответ:
100% варіант В
Варіанти А,Б, Г не правельні
Вас заинтересует
2 года назад
2 года назад
2 года назад
2 года назад
8 лет назад
9 лет назад