Ответы
Ответ дал:
1
Ответ:вот
Пошаговое объяснение:
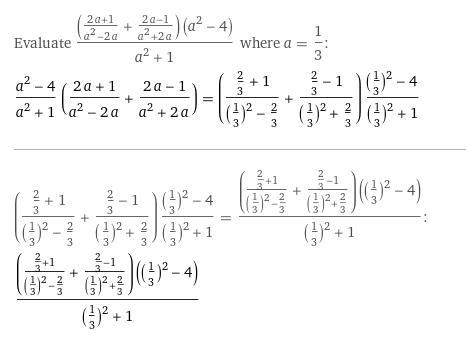
Приложения:

Ответ дал:
0
В результате будет 12
Приложения:

Вас заинтересует
2 года назад
2 года назад
2 года назад
2 года назад
8 лет назад
9 лет назад