• Предмет: Алгебра
  • Автор: Fkauss
  • Вопрос задан 7 лет назад

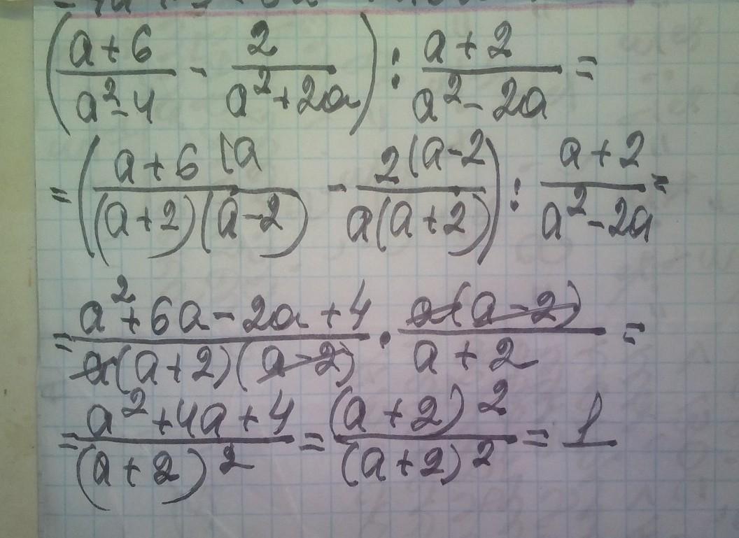
ДАЮ 25 БАЛЛОВ упростите выражение (a+6/a^2-4 - 2/a^2+2a) : a+2/a^2-2a​

Ответы

Ответ дал: manyny06
0

Ответ:

решение смотри на фотографии

Приложения:
Вас заинтересует