• Предмет: Алгебра
  • Автор: dzhinstella76
  • Вопрос задан 7 лет назад

На фото. 50 баллов!!!!!!!!. Очень надо

Приложения:

Ответы

Ответ дал: larisaserova53
0

Ответ:

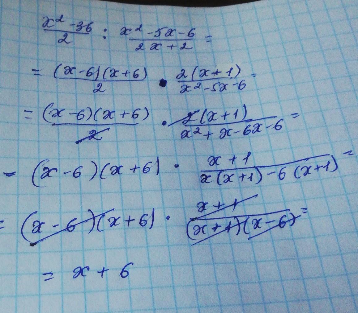
Смотри решение на фото...

Приложения:
Ответ дал: bena20193
0

Ответ:

Объяснение:

x²-5x-6=x²+x-6x-6=x(x+1)-6(x+1)=(x+1)(x-6)

(x²-36)/2   :  (x²-5x-6)/(2x+2)=

=(x²-36)/2   :  (x+1)(x-6)/2(x+1)=

=(x²-36)/2   * 2/(x-6)

   (x-6)(x+6)2

= ----------------- = x+6

       2 (x-6)

Вас заинтересует