• Предмет: Алгебра
  • Автор: chiefbrain
  • Вопрос задан 7 лет назад

60 БАЛЛОВ СРОЧНО
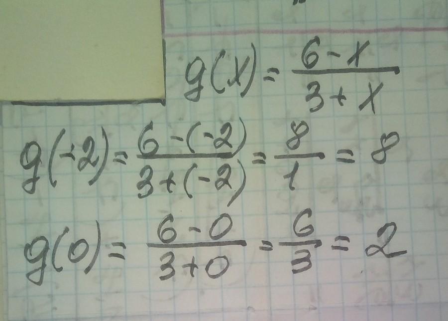
Дано: g(x)=6-x/3+x найти g(-2) g(0)​​

Ответы

Ответ дал: manyny06
1

Ответ:

решение смотри на фотографии

Приложения:

chiefbrain: СПАСИБО ВАМ ОГРОМНОЕ ❤️❤️❤️
Ответ дал: NNNLLL54
1

Ответ:

g(x)=\dfrac{6-x}{3+x}

Подставляем в функцию вместо  х  его числовое значение .

g(-2)=\dfrac{6-(-2)}{3+(-2)}=\dfrac{6+2}{3-2}=\dfrac{8}{1}=8\\\\\\g(0)=\dfrac{6-0}{3+0}=\dfrac{6}{3}=2


Аноним: Помогите с алгеброй даю 70 балов
Вас заинтересует