РЕШИТЕ ПОЖАЛУЙСТА!!! лучше напишите на листке и приложите к ответу)))) заранее спасибо:)
Приложения:
Ответы
Ответ дал:
1
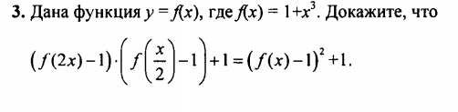
f(2x)=1+8x^3
f(x/2)=1+x^3/8
(f(2x)-1)(f(x/2)-1)+=(1+8x^3-1)(1+x^3/8-1)+1=(8x^3/8)*x^3=x^6+1
(f(x)-1)^2+1=(1+x^3-1)^2+1=x^6+1
f(x/2)=1+x^3/8
(f(2x)-1)(f(x/2)-1)+=(1+8x^3-1)(1+x^3/8-1)+1=(8x^3/8)*x^3=x^6+1
(f(x)-1)^2+1=(1+x^3-1)^2+1=x^6+1
ЛеркаLerka:
f(2x)=1+8x^3 я не поняла почему так?..объясни..)
f(x)=1+x^3 вместо х подставляем 2ч имеем f(2x)=1+(2x)^3=1+8x^3
Вас заинтересует
2 года назад
2 года назад
2 года назад
2 года назад
7 лет назад