• Предмет: Математика
  • Автор: tkachevaira123
  • Вопрос задан 7 лет назад

Решить уравнение
5(2x-4)-(20x-24)=0

Ответы

Ответ дал: iramarkelova1p12e0c
0

Ответ:

х=2/5 или х=0,4

Пошаговое объяснение:

5(2x-4)-(20x-24)=0

10х-20-20х+24=0

-10х+4=0

-10х=-4

х=4/10

х=2/5

Ответ дал: kolamane979
0

Відповідь:

Покрокове пояние

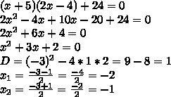
Приложения:
Вас заинтересует