• Предмет: Алгебра
  • Автор: bdbxbxhgshdh
  • Вопрос задан 7 лет назад

дпоможіть!!! даю всі баллі
Розв’язати задачу

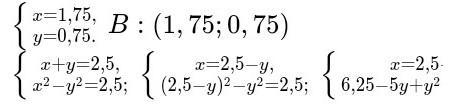
Знайти два числа, якщо їхня сума дорівнює 2,5 і різниця квадратів дорівнює 2,5.

Ответы

Ответ дал: gorgotatamila
0

Ответ:

Ось держи сподіваюсь що правильно

Приложения:
Вас заинтересует