• Предмет: Математика
  • Автор: HelpMeBlyat257
  • Вопрос задан 7 лет назад

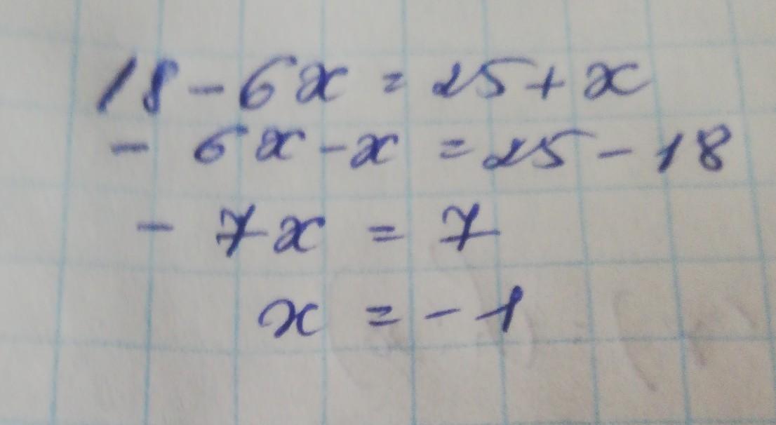
18-6x=25+x
Срочно пожалуйста что у меня кр

Ответы

Ответ дал: larisaserova53
0

Ответ:

Смотри решение на фото..

Приложения:
Ответ дал: procenkomaksim762
0

-Х-6Х=25-18

-7х= 7

1х=7поделить на -7

1х=-1

Вас заинтересует
10 лет назад