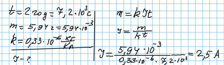
За 2 год на катодi електролізної установи виділилося 5,94 г міді. Знайти силу струму під час електролізу. Електрохімічний еквівалент міді становить 0,33 . 10^-6 кг/Кл. ДАЮ 50 БАЛІВ!!! терміново!!!!
Ответы
Ответ дал:
1
Відповідь: 2,5 А
Пояснення:
Приложения:
Вас заинтересует
2 года назад
2 года назад
3 года назад
3 года назад
8 лет назад
8 лет назад
10 лет назад