• Предмет: Алгебра
  • Автор: baellasoo
  • Вопрос задан 7 лет назад

Допоможіть будь ласка з похідною​

Приложения:

Ответы

Ответ дал: manyny06
1

Ответ:

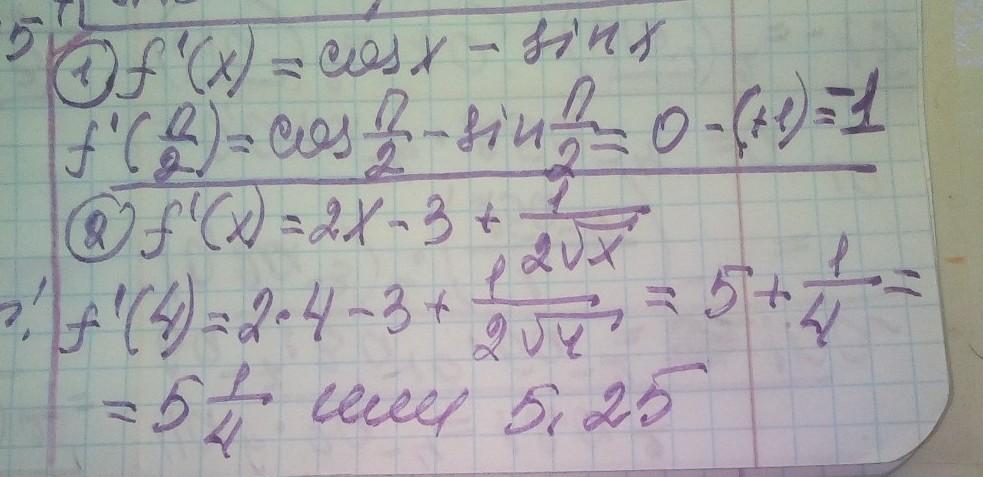
решение смотри на фотографии

Приложения:
Вас заинтересует