• Предмет: Алгебра
  • Автор: leratdehfio
  • Вопрос задан 7 лет назад

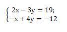
Яка з пар чисел є ров”язком системи рівнянь

Приложения:

vladlyashko: Найкращу відповідь, будь ласка?
leratdehfio: дякую а то залишилося 7 питань а у меня 5 хвилин
leratdehfio: можна еще поможешь задание в профиле

Ответы

Ответ дал: vladlyashko
1

Ответ:

(8; -1)

Объяснение:

Розв'яжемо це рівняння методом додавання. Помножимо ліву і праву частини другого рівняння системи на 2. Маємо систему:

\left \{ {{2x - 3y=19} \atop {-2x + 8y=-24}} \right.

Додамо ці два рівняння системи:

2x - 3y - 2x + 8y = 19 - 24

5y = -5

y = -1

Підставимо це значення у перше рівняння системи:

2x - 3 * (-1) = 19

2x + 3 = 19

2x = 19 - 3

2x = 16

x = 8

Вас заинтересует