Ответы
Ответ дал:
1
Ответ:
Объяснение:
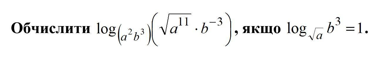
сначала выразить корень из а, потом выразить b в степени -3 , ответ на фото
Приложения:

BunnyDi:
Спасибо большое!
Вас заинтересует
2 года назад
2 года назад
2 года назад
8 лет назад
8 лет назад
9 лет назад
9 лет назад