• Предмет: Алгебра
  • Автор: andrey758
  • Вопрос задан 7 лет назад

ДОПОМОЖІТЬ БУДЬ ЛАСКА!!!!
ПОТОРІБНО
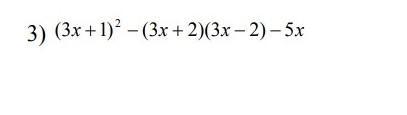
Скористатися формулами скороченого множення

Приложения:

Ответы

Ответ дал: yulianaok2004
0

Ответ:.......

Объяснение:......

Приложения:
Вас заинтересует