• Предмет: Алгебра
  • Автор: slivaandrej35
  • Вопрос задан 7 лет назад

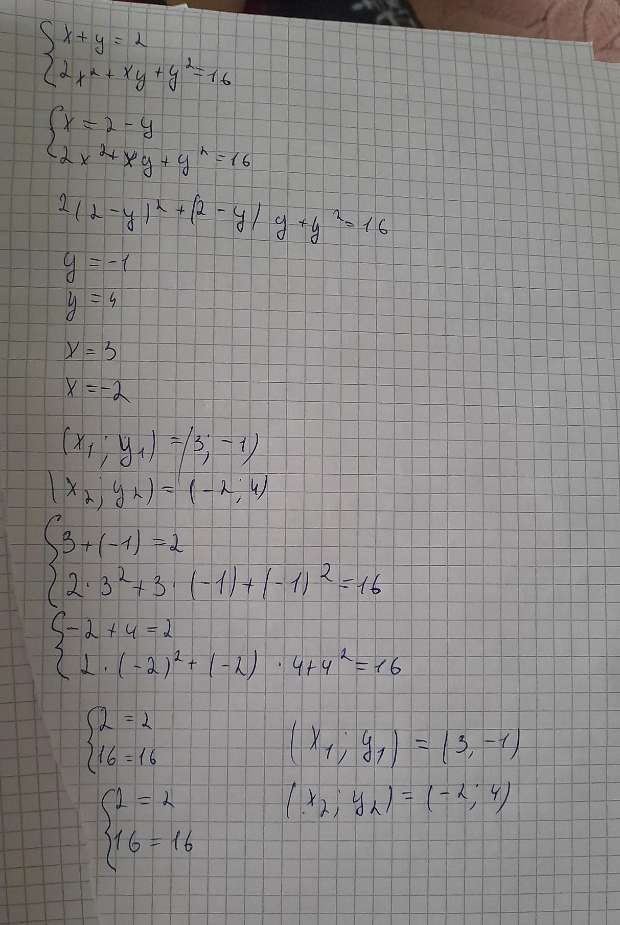
розвязати схему {x+y=2,} {2x2+xy+y2=16.

Приложения:

Ответы

Ответ дал: dombrovskaalera8
2

Ответ:

ответ на фото...............................

Приложения:
Вас заинтересует