• Предмет: Математика
  • Автор: aostrovskaya
  • Вопрос задан 7 лет назад

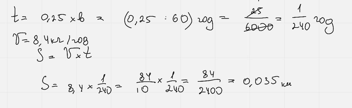
Скільки кілометрів пробіг заяць за 0,25 хвилини зі швидкістью 8,4 км/год?

Ответы

Ответ дал: vadof123
0

Ответ:

0,035км

Пошаговое объяснение:

Приложения:

mmmhffjuf: А не легче было просто:
8,14:60=0,14
0,14•0,25=0,035
mmmhffjuf: Извиняюсь не 8,14, а 8,4 в начале
vadof123: Два способи) просто швидкісь звичніше подавати у км/год
Ответ дал: mmmhffjuf
0
1) 8,4:60=0,14
2) 0,14•0,25=0,035
Вас заинтересует