Ответы
Ответ дал:
0
Ответ:
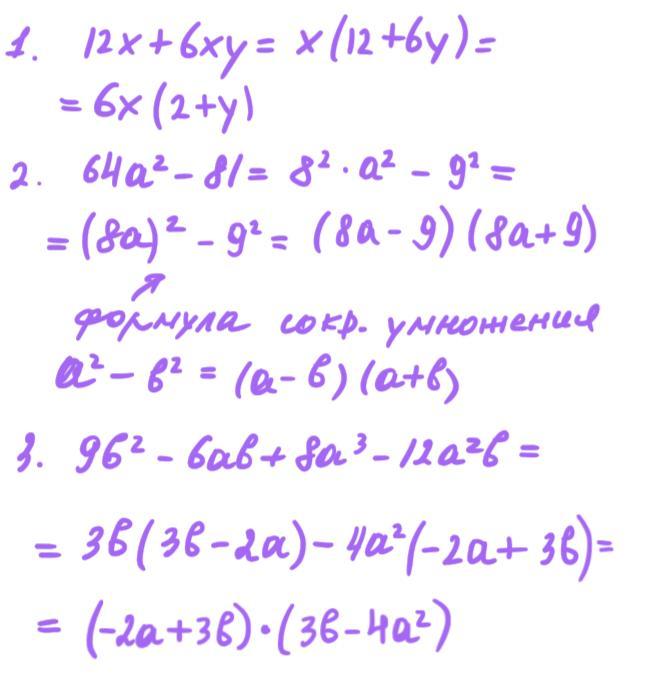
см. приложение
Объяснение:
Приложения:

sergeidovor:
спасибо
Вас заинтересует
2 года назад
2 года назад
2 года назад
8 лет назад
8 лет назад