• Предмет: Алгебра
  • Автор: Dasha888mo
  • Вопрос задан 7 лет назад

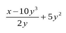
Упростите выражение и найдите значение этого выражения при х = -18, у = 4,5.​

Приложения:

Ответы

Ответ дал: tatsach
0

Ответ:

Объяснение:

.......

Приложения:
Вас заинтересует