• Предмет: Математика
  • Автор: mykhailovajulia459
  • Вопрос задан 7 лет назад

Розвяжіть методом підстановки систему рівнянь ​

Приложения:

Ответы

Ответ дал: vadof123
1

Ответ:

на фото

Пошаговое объяснение:

Приложения:
Ответ дал: Manager1235
1

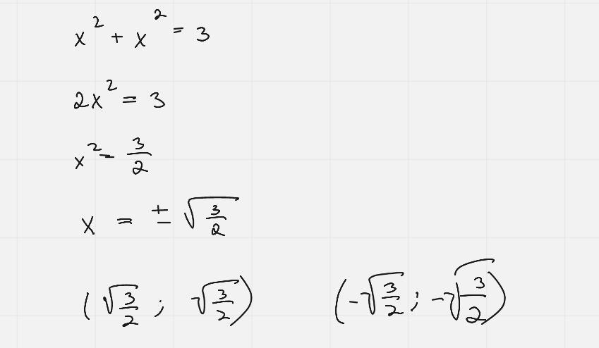
Ответ:

х²+х²=3

2х²=3

х²=3/2

х=±\sqrt{3/2}

Пошаговое объяснение:

Вас заинтересует