• Предмет: Физика
  • Автор: katusaustimenko75
  • Вопрос задан 7 лет назад

Дам 30 балов!!!!!
Помогите пожалуйста!!!!!!
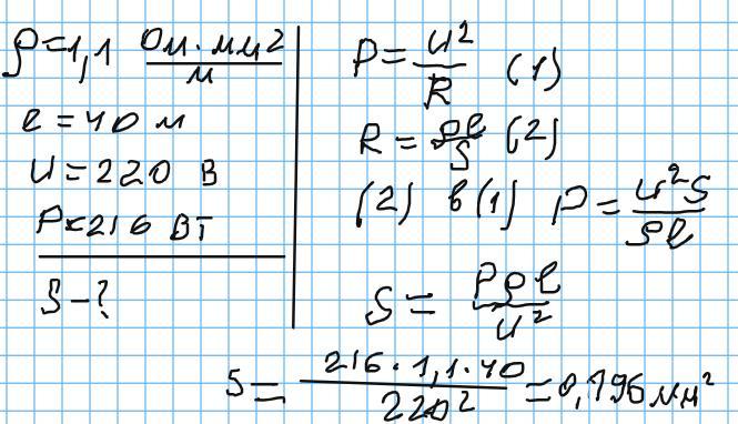
Нагрівальний елемент електропанелі виготовлено з ніхромового дроту завдовжки 40 м. Після ввімкнення в мережу з напругою 220 В він споживає потужність 216 Вт. Чому дорівнює площа поперечного перерізу дроту, з якого виготовлено нагрівальний елемент?​

Ответы

Ответ дал: zybkov1950
2

Відповідь:0,196 мм²

Пояснення:

Приложения:

katusaustimenko75: дякую
Вас заинтересует