• Предмет: Физика
  • Автор: olenamendruh
  • Вопрос задан 7 лет назад

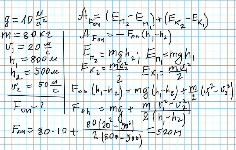
Парашутист, маса якого 80кг, відокремився від гелікоптера, що рухався зі швидкістю 20м/с на висоті 800 м. На висоті 500м швидкість парашутиста була 50м/с. Визначте роботу сили опору повітря

Ответы

Ответ дал: sonya170227
1

ответ и решение на фото) только вместо 200 земени числом 800

Приложения:
Ответ дал: zybkov1950
1

Відповідь: 520 Н

Пояснення:

Приложения:

olenamendruh: Спасибо!
Вас заинтересует