• Предмет: Алгебра
  • Автор: gapurovairada1
  • Вопрос задан 7 лет назад

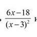
При каких значениях переменной, алгебраическая дробь 6х-18/(х-3)2 имеет смысл?​

Приложения:

Ответы

Ответ дал: sashamat002
1
Ответ:
х-3≠0
х≠3
Потому что знаменник не должен быть 0
Вас заинтересует