• Предмет: Математика
  • Автор: SolomQ
  • Вопрос задан 7 лет назад

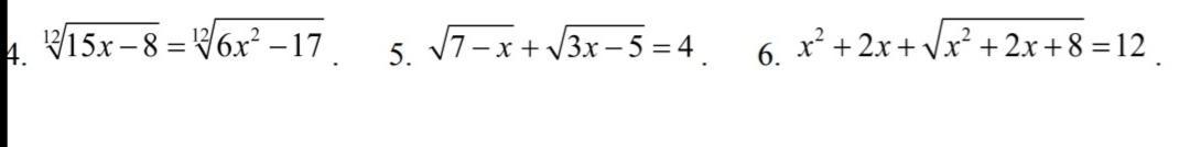
ПОЖАЛУЙСТА помогите СРОЧНО даю 100 баллов

Приложения:

Ответы

Ответ дал: makskhlystal33
0

Ответ:

Пошаговое объяснение:

нну нафиг нифига не понял

Вас заинтересует