• Предмет: Математика
  • Автор: kurdstara
  • Вопрос задан 7 лет назад

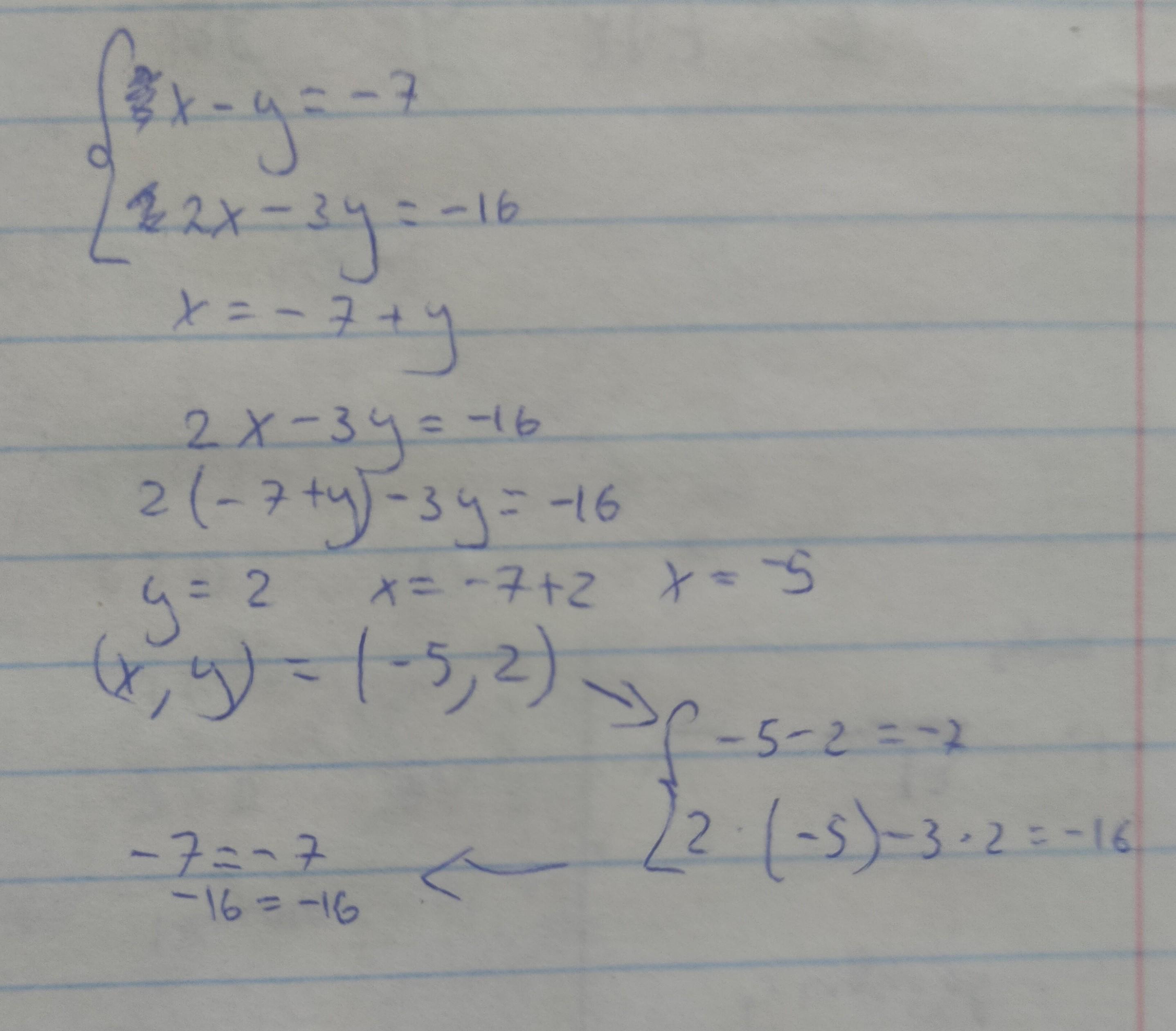
x-y=-7
2x-3y=-16
Помогите пожалуйста

Ответы

Ответ дал: bffjlhfstone
0

Ответ:

(x, y) =(-5, 2)

Пошаговое объяснение:

короче,решение на фотографии

Приложения:
Вас заинтересует