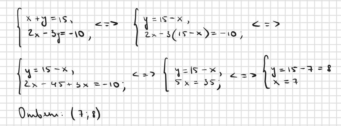
Решить систему уравнений методом подстановки {x+y=15
{2x-3y= -10
PolovnikSA:
Сделайте, пожалуйста, лучшим ответом.
Ответы
Ответ дал:
0
відповідь на фото.
зроби найкращу відповідь
зроби найкращу відповідь
Приложения:
Ответ дал:
0
Ответ: (7;8).
Объяснение:
Приложения:
Вас заинтересует
2 года назад
2 года назад
3 года назад
3 года назад
8 лет назад
8 лет назад
10 лет назад