• Предмет: Математика
  • Автор: SuzukiElen
  • Вопрос задан 7 лет назад

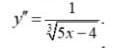
СРОЧНО! Помогите решить диферинциальное уравнение очень прошу!!!

Приложения:

Ответы

Ответ дал: HSS9860
2

Пошаговое объяснение:

посмотрите предложенный вариант; ответ отмечен цветным. Оформление адаптируйте на свой лад.

Приложения:

solka0000: будь ласка ,допоможіть із задачею Коші ,вже додала до своїх питань ,даю максимум балів
Вас заинтересует