• Предмет: Математика
  • Автор: sisenbaialmat
  • Вопрос задан 7 лет назад

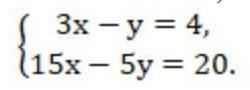
3х - у = 4, 4 (15х – 5y = 20. {15. =​

Приложения:

Ответы

Ответ дал: sasagrankin88
1
3х-у=4;
15х-5у=20; ÷5


3х-у=4;
3х-у=4.
Ответ: х;у-любое число.
Лучший ответ пожалуйста


sasagrankin88: Точнее х;у может быть любым числом, но, условие недостаточное, если х=1, например, то у=-1.
Вас заинтересует