• Предмет: Алгебра
  • Автор: koltyrini12
  • Вопрос задан 7 лет назад

Помогите решить систему, даю 50 баллов

Приложения:

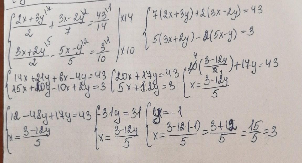
Simba2017: первое домножить на 14, второе на 10
Simba2017: 7(2x+3y)+2(3x-2y)=43; 20x+15y=43
Simba2017: 5(3x+2y)-2(5x-y)=3;5x+12y=3
Simba2017: второе умножить на (-4) и сложить с первым
Simba2017: ошибка!
koltyrini12: спасибо, правда ты не совсем туда писал...
Simba2017: если решат неправильно-я ответ напишу

Ответы

Ответ дал: rudyaka1
1

Ответ:

.................................

Приложения:
Вас заинтересует