• Предмет: Алгебра
  • Автор: dimaandrienko2612
  • Вопрос задан 7 лет назад

(Допоможіть будь ласка, даю 50 б.) Алгебра , задача N 5.

Приложения:

dimaandrienko2612: Допоможіть будь ласка, прошу)) :(

Ответы

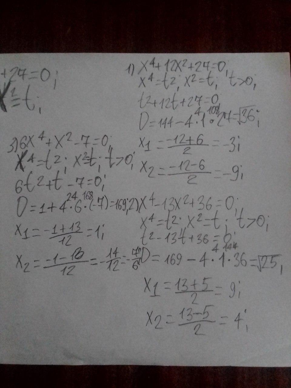
Ответ дал: illaeromkin
1

Ответ:

На фотке

Объяснение:

Последнее сложно

Приложения:

dimaandrienko2612: Дякую, погано видно )
dimaandrienko2612: Почему 4 не зробив?
dimaandrienko2612: Я ще скіну задачу , зробиш ??
dimaandrienko2612: 2мин.- 3 мин. Задача буде )))
illaeromkin: ок
illaeromkin: 4 тяжело слишком для моего мозга
Вас заинтересует