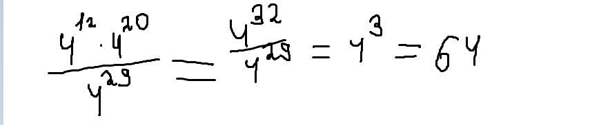
Помогите пожалуйста 4 в 12 степени умножить на 4 в 20 степени (дробная черта) снизу 4 в 29 степени
Ответы
Ответ дал:
0
Відповідь:
64
Пояснення:
сначала умножаем члены с одинаковыми степенями путем сложениях их, после делим то что у нас получилось, отнимаем от 32 29 выходит 3. Дальше просто вычисляем
Приложения:

Вас заинтересует
2 года назад
2 года назад
8 лет назад
8 лет назад
9 лет назад