• Предмет: Математика
  • Автор: Shevtsovsasha
  • Вопрос задан 7 лет назад

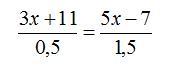
Допоможіть даю 35 балів

Приложения:

Ответы

Ответ дал: tatsach
1

Ответ:

Пошаговое объяснение:

Приложения:

Shevtsovsasha: Дякую!!!
tatsach: Пожалуйста
Вас заинтересует