Ответы
Ответ дал:
1
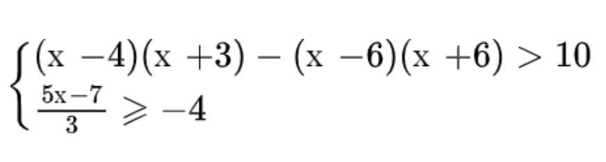
Відповідь:
Пояснення:
Приложения:

Вас заинтересует
2 года назад
2 года назад
2 года назад
9 лет назад