помогите пожалуйста))
6) сколько протонов и сколько нейтронов содержится в ядре 
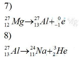
7) в результате В(бета) -распада ядро магния
превращается в новое ядро. Сколько нуклонов содержит новое ядро? Запишите реакцию.
8) при радиоактивном излучении
образуется радиоактивный изотоп
. Какая частица испускается при этом ядерном превращении? Запишите реакцию
Ответы
Ответ дал:
1
Ответ:
Объяснение:
6)
55 нуклонов из них
26 протонов
55-26=29 нейтронов
7)
при вета распаде количество нуклонов 27 не изменяется
реакция во вложении
8)
массовое число уменьшилось на 3
зарядовое число уменьшилось на 2
излучается ядро гелия-3
реакция во вложении
Приложения:

Вас заинтересует
2 года назад
2 года назад
2 года назад
8 лет назад
8 лет назад
В файле добавил комментарии, чтоб было понятнее.