Ответы
Ответ дал:
0
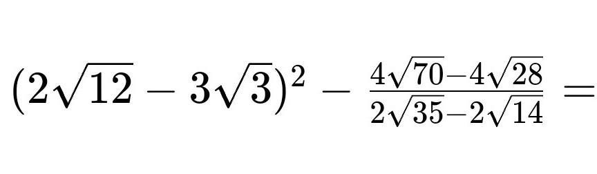
Ответ:фото
Пошаговое объяснение:
Приложения:


Ответ дал:
0
Ответ:
решала через приложение
Приложения:



Вас заинтересует
2 года назад
2 года назад
8 лет назад
9 лет назад