• Предмет: Геометрия
  • Автор: anonim5049
  • Вопрос задан 7 лет назад

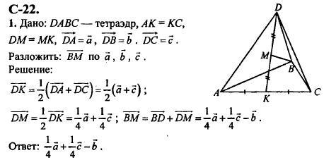
Срочно, даю 100 баллов. Изобразить вектор​

Приложения:

Ответы

Ответ дал: kot228lv
0

Ответ:

я скинул фото

Объяснение:

...

Приложения:
Вас заинтересует