• Предмет: Алгебра
  • Автор: Юля2503
  • Вопрос задан 3 года назад

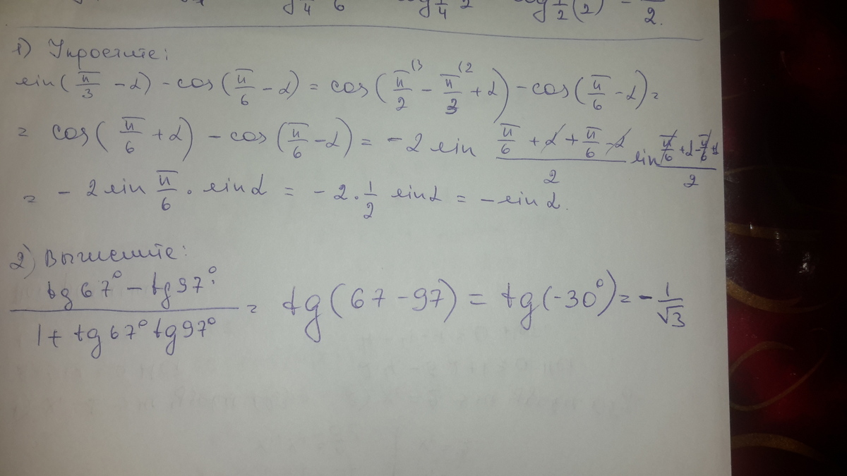
1)Упростите выражение 
sin (П/3- альфа) - cos (П/6-альфа)
2) Вычислите
  tg67градусов-tg97градусов
1+tg67 градусов tg97 градусов   =

Ответы

Ответ дал: prostomama1
2
""""""""""""""""""""""""""""""""""""""
Приложения:

Юля2503: Спасибо большое)) Выручили))
prostomama1: Незачто
Вас заинтересует