Ответы
Ответ дал:
1
задание 1. найдите корни уравнения 2х² + х - 3 = 0.
решение:
2х² + х - 3 = 0
а = 2, b = 1, c = -3.
D = b² - 4ас
D = 1 - 4 × 2 × (-3) = 1 + 24 = 25.
х1 = -1 + √25 / 2а = -1 + 5 / 4 = 1.
х2 = -1 - √25 / 2а = -1 - 5 / 4 = -1,5.1
корни уравнения: х1 = 1; х2 = -1,5.
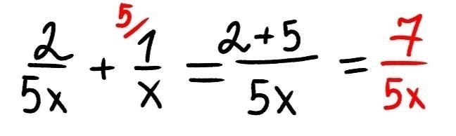
задание 2. упростите выражение 2/5х + 1/х
решение:
(на фото).
Приложения:

Вас заинтересует
2 года назад
2 года назад
2 года назад
8 лет назад
9 лет назад