• Предмет: Алгебра
  • Автор: Gggggghhh272772
  • Вопрос задан 7 лет назад

Допоможіть!!!!!!!!!!!

Приложения:

nevedusya: готово

Ответы

Ответ дал: nevedusya
1

Відповідь:

x = 1; y = 2.

Пояснення:

(-6x + 9y = 12

(6x + 4y = 14

--------------------

13y = 26

y = 2

(y = 2

(x = 1

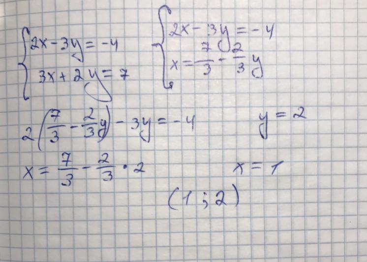
Ответ дал: alisashavkun
1
Розв’язання на фото :
Приложения:
Вас заинтересует