• Предмет: Алгебра
  • Автор: namvadim98
  • Вопрос задан 7 лет назад

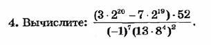
Вычислите, 7 класс алгебра

Приложения:

Ответы

Ответ дал: zxc386488373
0

Ответ:

ответ:

 \frac{1}{104?}

проверено учителем


zxc386488373: вопросительный знак не надо
zxc386488373: я нечайно
Ответ дал: manyny06
0

Ответ:

решение смотри на фотографии

Приложения:

zxc386488373: у меня так же
zxc386488373: но это правильней
Вас заинтересует